โ 1. ๊ฐ๋ ๋ฐ ์ฉ์ด
- ์ ๊ธฐํ๋ก์ ๋ถ์, ์ต๋จ ๊ฑฐ๋ฆฌ ํ์, ํ๋ก์ ํธ ๊ณํ, ์ค์ผ์ค๋ง, ์ด์ก, ์ปดํจํฐ ๋คํธ์ํฌ ์๋ฎฌ๋ ์ด์ ๋ฑ์ ์ฌ์ฉ๋๋ค
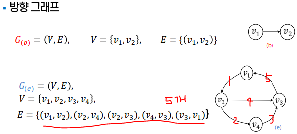
(1) ๊ทธ๋ํ - ์ ์
![]() |
![]() |
- ๊ทธ๋ํ G ๋ ํ๋ ์ด์์ ์ ์ (๋ ธ๋)์ ํฌํจํ๋ ์งํฉ V ์ ๋ ์ ์ ์ ์์ผ๋ก ๊ตฌ์ฑ๋๋ ๊ฐ์ ์ ํฌํจํ๋ ์งํฉ E ์ ์์์์ผ๋ก ์ ์ํจ.
- ๊ทธ๋ํ: G = (V, E) / [ V = ์ ์ , E = ๊ฐ์ ]
(2) ๊ทธ๋ํ - ์ฉ์ด ์ ์



[ ๊ฐ์ ]
- ๋ ์ ์ ์ ์ฐ๊ฒฐํ๋ ์ ์ ์๋ฏธํ๋ฉฐ, ๋ ์ ์ ์์ผ๋ก ๋ํ๋.
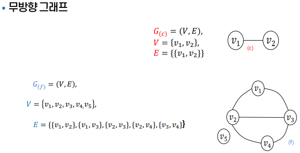
- ๋ฌด๋ฐฉํฅ ๊ทธ๋ํ: ๊ฐ์ ์ ๋ฐฉํฅ์ฑ์ด ์๋ ๊ทธ๋ํ ( ์ค์ ํํ ) / ๋ ์ ์ {v1, v2} ์ค๊ดํธ๋ก ํํํจ.
- ๋ฐฉํฅ ๊ทธ๋ํ: ๋ฐฉํฅ์ฑ์ด ์๋ ๊ทธ๋ํ ( ํ์ดํ ํํ ) / ์์์ (v1, v2) ์๊ดํธ๋ก ํํํจ.
- ๋ฌด๋ฐฉํฅ์ ๊ฒฝ์ฐ ์์์์ด ์๊ธฐ ๋๋ฌธ์ ๊ตฌ๋ถ์ ํ์ง ์์ v1, v2 / v2, v1 ๋์ผํ๊ฒ ๋ด.
- ํ์ง๋ง, ๋ฐฉํฅ์ด ์๋ ๊ฒฝ์ฐ ์์์์ด ์กด์ฌํ๊ธฐ ๋๋ฌธ์ v1, v2 / v2, v1 ์ด ๋์ผํ์ง ์์.
(3) ๊ทธ๋ํ - ์ฐ๊ฒฐ

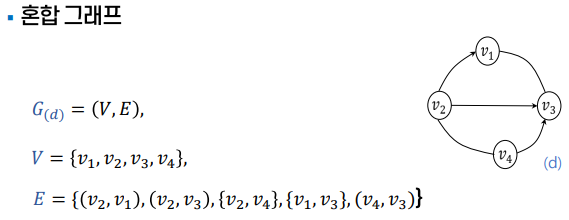
- ํผํฉ ๊ทธ๋ํ: ๋ฌด๋ฐฉํฅ๊ณผ ๋ฐฉํฅ์ด ์๋ ๊ฐ์ ์ด ๊ฐ์ด ์กด์ฌํ๋ ๊ฒฝ์ฐ ํผํฉ ๊ทธ๋ํ๋ผ๊ณ ํจ.
[ ๋ฐฉํฅ ๊ทธ๋ํ ]

- ๋ฐฉํฅ ๊ทธ๋ํ์ ๊ฐ์ ์ ์๊ดํธ๋ก ํํ์ ํจ.
[ ๋ฌด๋ฐฉํฅ ๊ทธ๋ํ ]

- ๋ฌด๋ฐฉํฅ ๊ทธ๋ํ์ ๊ฐ์ ์ ์ค๊ดํธ๋ก ํํ์ ํจ.
[ ํผํฉ ๊ทธ๋ํ ]

- ํผํฉ ๊ทธ๋ํ์ ๊ฐ์ ์ ์ค๊ดํธ ๋๋ ์๊ดํธ๋ก ํํ์ด ๋จ.
- ์์์๋ v3 ์์๋ v2๋ก ๊ฐ๋ ๊ฒฝ๋ก๊ฐ ์กด์ฌํ์ง ์์.
(4) ๋ค์ค ๊ทธ๋ํ

- ๋ค์ค ๊ทธ๋ํ(Multi-Graph): ์๋ก ๋ค๋ฅธ ๋ ์ ์ ์ ์๋ ๊ฐ์ ์ด ๋ ๊ฐ ์ด์์ธ ๊ทธ๋ํ๋ฅผ ์๋ฏธํ๋ค.
- ** ๋จ ํ์๋ง์ด๋ผ๋ ๋ค์ค์ผ๋ก ์ฐ๊ฒฐ์ด ๋์ด์๋ ๊ฒฝ์ฐ์ด๋ฉด ๋ชจ๋ ๋ค์ค ๊ทธ๋ํ๋ก ๋ณผ ์ ์์. **
(5) ๋ค์ค ๊ทธ๋ํ - ๋ฐฉํฅ ๋ค์ค ๊ทธ๋ํ

- ๋ฐฉํฅ ๋ค์ค ๊ทธ๋ํ: ๋ฐฉํฅ์ฑ์ ๊ฐ๋ ๊ฐ์ ์ผ๋ก ์ด๋ฃจ์ด์ง ๋ค์ค ๊ทธ๋ํ๋ฅผ ์๋ฏธํ๋ค.
(6) ๋ค์ค ๊ทธ๋ํ - ๋ฌด๋ฐฉํฅ ๋ค์ค ๊ทธ๋ํ

- ๋ฌด๋ฐฉํฅ ๋ค์ค ๊ทธ๋ํ: ๋ฐฉํฅ์ฑ์ด ์๋ ๊ฐ์ ์ผ๋ก ์ด๋ฃจ์ด์ง ๋ค์ค ๊ทธ๋ํ๋ฅผ ์๋ฏธํ๋ค.
(7) ๊ฐ์ค ๊ทธ๋ํ

- ๊ฐ์ค ๊ทธ๋ํ: ๊ฐ์ ์ด ๊ฐ์ค์น๋ฅผ ๊ฐ๋ ๊ทธ๋ํ๋ฅผ ์๋ฏธํ๋ค.
- ์ฝ๊ฒ๋งํด, ๊ฐ์ (Edge)์ ์ซ์๋ก ๋ ๊ฐ์ด ํ ๋น๋ ๊ทธ๋ํ๋ฅผ ๋งํ๋ฉฐ, ์ด ํ ๋น๋ ์ซ์๋ฅผ ๊ฐ์ค์น(Weight) ๋๋ **๋น์ฉ(Cost)**์ด๋ผ๊ณ ๋ถ๋ฅธ๋ค.
- ์๋ฅผ๋ค๋ฉด, ์์ ์ด๋ฏธ์ง์ ๊ฐ์ด ์์ธ์์ ๋ถ์ฐ๊น์ง์ ๊ฐ์ ์ ๊ฐ์ค์น ์๊ฐ์ ๋ฃ์ด ๋ช ์๊ฐ์ด ๊ฑธ๋ฆฌ๋์ง ๊ธฐ์ฌํ๋ ๋๋์.
- ** ๊ฐ์ค์น๊ฐ ์๋ ์ผ๋ฐ์ ์ธ ๊ทธ๋ํ๋ ๋จ์ํ ๋ ์ ์ (Node)์ด '์ฐ๊ฒฐ๋์ด ์๋ค', '์ฐ๊ฒฐ๋์ด ์์ง ์๋ค'๋ง์ ํํํ์ง๋ง, ๊ฐ์ค์น ๊ทธ๋ํ๋ ๊ทธ ์ฐ๊ฒฐ์ ๋ํ ์ ๋ณด์ ๊ฐ๋, ๋น์ฉ, ๊ฑฐ๋ฆฌ ๋ฑ ์ ๋์ ์ธ ์๋ฏธ๋ฅผ ๋ถ์ฌํ๋ค. **
(8) ๊ทธ๋ํ - ์ต๋ ๊ฐ์ ๊ฐ์
[ ๋ฌด๋ฐฉํฅ ๊ทธ๋ํ ์ต๋ ๊ฐ์ ๊ฐ์ ]

- n ๊ฐ์ ์ ์ ์ ๊ฐ๋ ๋ฌด๋ฐฉํฅ ๊ทธ๋ํ์ ๋ฌด์์์ ์ต๋ ๊ฐ์๋ฅผ ๊ตฌํ๋ ๊ณต์์ด๋ฉฐ, ์์ ๊ฒฝ์ฐ ์ต๋ 3๊ฐ๊ฐ ๋์ค๊ฒ ๋จ.
[ ๋ฐฉํฅ ๊ทธ๋ํ ์ต๋ ๊ฐ์ ๊ฐ์ ]

- ๋ฐฉํฅ ๊ทธ๋ํ์ ๊ฒฝ์ฐ ๋ฐฉํฅ์ ๋ฐ๋ผ์ ๊ฐ์๊ฐ ๋ง์์ง ์ ์์ผ๋ฉฐ, ์์ ๊ณต์์ ํตํด์ ์ต๋ ๊ฐ์ ๊ฐ์๋ฅผ ๊ตฌํ ์ ์์.
- ๋ฐฉํฅ์ ๊ฐ์ง๊ธฐ ๋๋ฌธ์ ๋ฌด์์์์ด ์๋ ์์์์ผ๋ก ํํ์ด ๋๋ค.
- ์์์: ์ฝ๊ฒ๋งํด, ๋ฐฉํฅ์ด ์๊ธฐ ๋๋ฌธ์ ์์๊ฐ ์กด์ฌํ ์ ์๋ ์์ ์๋ฏธํจ.
(9) ์์ ๊ทธ๋ํ

- ์์ ๊ทธ๋ํ(Complete Graph): ๋ชจ๋ ์ ์ ๋ค์ด ๊ฐ์ ์ผ๋ก ์๋ก ์ฐ๊ฒฐ๋ ๊ทธ๋ํ๋ฅผ ์๋ฏธํ๋ค.
(10) ๊ทธ๋ํ - ์ฑ์ง
[ ์ธ์ ]
- ์ธ์ : ๋ ์ ์ vi ์ vj ๊ฐ ์๋ก ์ฐ๊ฒฐํ๋ ๊ฐ์ ์ด ์กด์ฌํ๋ ๊ฒฝ์ฐ์ "์ธ์ ํ๋ค" ๋ผ๊ณ ํํํจ.
- ** ์ธ์ ์ ๊ทธ๋ํ์ ๋ฐฉํฅ์ฑ ์ฌ๋ถ์ ์๊ด์์ด ์ ์ฉ๋๋ฉฐ, ํต์ฌ์ ๋ ์ ์ ์ฌ์ด์ ๊ฐ์ ์ด ์กด์ฌํ๋๊ฐ ์ด๋ค. **
[ ๋ ๋ฆฝ ์ ์ ]
- ๋ ๋ฆฝ ์ ์ : ๋ค๋ฅธ ์ด๋ค ์ ์ ๊ณผ๋ ์ธ์ ํ์ง ์๊ณ ๋๋จ์ด์ง ์ ์ ์ ์๋ฏธํ๋ค. ( ์ฆ, ํด๋น ์ ์ ์ ๊ฐ์ ์ด ์์. )
[ ๋(Null) ๊ทธ๋ํ ]
- ๋(null) ๊ทธ๋ํ: ๋ ๋ฆฝ ์ ์ ๋ง์ผ๋ก ๊ตฌ์ฑ๋ ๊ทธ๋ํ์ด๋ฉฐ, ๊ฐ์ ์ ์งํฉ E๋ ๊ณต์งํฉ์.
- ** Null-Graph๋ ๊ฐ์ ์ด ์กด์ฌํ์ง ์๊ณ ์ ์ ๋ง ์กด์ฌํ๋ ๊ทธ๋ํ๋ก ๋ณผ ์ ์์ **
[ ๊ฒฝ๋ก(Path) ]


- ์์์ ๋ ์ ์ ์ ์ฐ๊ฒฐํ๋ ๊ฐ์ ์ ๊ฐ์๋ฅผ ์๋ฏธํ๋ค.
- ** ์ฝ๊ฒ๋งํด, ์์์ ๋ ์ ์ ์ ๊ณจ๋ผ์ ์์ ์ง์ ๊ณผ ๋ ์ง์ ์ผ๋ก ๋๋ ๋ ์ค๊ฐ์ ๊ฑฐ์ณ์ ๊ฐ๋ ๋ชจ๋ ๊ฐ์ ์ ๊ฐ์๋ฅผ ์๋ฏธํจ. **
- ๊ฒฝ๋ก ๊ธธ์ด: ๊ฒฝ๋ก์ ์๋ ๊ฐ์ ์ ์
- ๋จ์ ๊ฒฝ๋ก: ๊ฒฝ๋ก ์์ ์๋ ๋ชจ๋ ์ ์ ์ด ์๋ก ๋ค๋ฅธ ๊ฒฝ๋ก
- ๊ธฐ๋ณธ ๊ฒฝ๋ก: ๊ฒฝ๋ก ์์ ์๋ ๋ชจ๋ ๊ฐ์ ์ด ์๋ก ๋ค๋ฅธ ๊ฒฝ๋ก
- ** ๊ทผ๋ฐ ๋ฌธ์์์๋ ๋จ์ ๊ฒฝ๋ก, ๊ธฐ๋ณธ ๊ฒฝ๋ก ๋ ๋ค "์ ์ ๋ค ์ค์ ์ค๋ณต๋ ์ ์ ์ด ์๋ ๊ฒฝ๋ก" ๋ก ๊ฐ์ ๋ง๋ก ์ฐ์ด๋๋ฐ? **
[ ๊ฒฝ๋ก ์์ - ๋ฐฉํฅ ๊ทธ๋ํ ]

- ์์ ๊ฐ์ด ๋ฐฉํฅ ๊ทธ๋ํ๊ฐ ์กด์ฌ ํ ๋, P1~6 ๋ชจ๋๊ฐ v2 -> v4 ๋ก ๊ฐ๋ ๊ฒฝ๋ก์.

- ๋จ์ ๊ฒฝ๋ก: ๊ฒฝ๋ก ์์ ์๋ ๋ชจ๋ ์ ์ ์ด ์๋ก ๋ค๋ฅธ ๊ฒฝ๋ก
- ** ์์ ์ด๋ฏธ์ง์ ๊ฒฝ์ฐ ๊ฒฝ๋ก์์ ์ ์ ์ด ์ค๋ณต ๋ฐฉ๋ฌธ์ ํ์ง ์๋ ๊ฒฝ๋ก๋ฅผ ๋จ์ ๊ฒฝ๋ก๋ก ๋ณผ ์ ์์. **
- ์ฆ, ๋นจ๊ฐ์ ๋ถ๋ถ์ ๊ธฐ๋ณธ ๊ฒฝ๋ก๋ ๋ ์ ์์ง๋ง, ์ค๋ณต ๋ฐฉ๋ฌธ์ด ์ผ์ด๋๊ธฐ ๋๋ฌธ์ ๋จ์ ๊ฒฝ๋ก๋ ๋ ์ ์์.
[ ๊ฒฝ๋ก ์์ - ์ฌ์ดํด์ ํฌํจํ ๊ฒฝ๋ก ]

- ์ฌ์ดํด: ์ถ๋ฐ์ ๊ณผ ๋์ฐฉ์ ์ด ๋์ผํ ๋จ์ ๊ฒฝ๋ก๋ฅผ ์๋ฏธํ๋ค.
- ์ฌ์ดํด ๊ทธ๋ํ: ์ค์ง ํ๋์ ๋ซํ ๋ฃจํ(๊ณ ๋ฆฌ)๋ง์ ํ์ฑํ๋ ํน์ ํ ๊ตฌ์กฐ์ ๊ทธ๋ํ๋ฅผ ์๋ฏธํ๋ฉฐ, ์์ ๋ด์ฉ๊ณผ๋ ๋ฌด๊ดํจ.
- ( ๋๊ฐ์ ์ ์๊ณ ๋ณ์ผ๋ก๋ง ๊ฐ์ ์ด ์ด๋ฃจ์ด์ ธ์ ํ๋์ ๊ณ ๋ฆฌ๋ฅผ ํ์ฑํ๋ค๊ณ ๋ณด๋ฉด๋จ. )
- ** ์ฆ, ์์ ๊ทธ๋ํ๋ ์ฌ์ดํด์ ํฌํจํ ๋ฐฉํฅ ๊ทธ๋ํ๋ก ๋ณผ ์ ์์. **
(11) ๊ทธ๋ํ - ์ด๋ก ์์ ์ฌ์ฉํ๋ ์ฉ์ด ์ ๋ฆฌ

- ์ง์ ์ฐจ์: ์ฃผ์ด์ง ์ ์ ์ผ๋ก ํฅํ ๊ฐ์ ์ ๊ฐ์๋ฅผ ์๋ฏธํ๋ค.
- ์ง์ถ ์ฐจ์: ์ฃผ์ด์ง ์ ์ ์์ ์์ํ๋ ๊ฐ์ ์ ๊ฐ์๋ฅผ ์๋ฏธํ๋ค. ( ์ฆ, ์ฃผ์ด์ง ์ ์ ์์ ๋๊ฐ๋ ๊ฐ์ ์ ๊ฐ์๋ฅผ ๋งํจ. )
- ์ ์ ์ ์ฐจ์: ์ง์ถ ์ฐจ์์ ์ง์ ์ฐจ์์ ํฉ์ ์๋ฏธํจ.
- ** ๋ฌด๋ฐฉํฅ ๊ทธ๋ํ์์ "์ฐจ์"๋ ๋จ์ํ ์ ์ ์ ์ฐ๊ฒฐ๋ ๊ฐ์ ๋ค์ ๊ฐ์๋ฅผ ์๋ฏธํจ. **
- ๋ฃจํ: ๊ฐ์ ์ ์์์ ๊ณผ ๋์ ์ด ๊ฐ์ ์ ์ ์ธ ๊ธธ์ด๊ฐ 1์ธ ๊ฒฝ๋ก๋ฅผ ์๋ฏธํจ. ( ํ ๋ฐํด ๋์์ ๋ค์ ๋์์จ ๋๋์ )
- ๋ฌด์ฌ์ดํด ๊ทธ๋ํ: ์ฌ์ดํด์ด ์๋ ๊ทธ๋ํ๋ฅผ ๋ฌด์ฌ์ดํด ๊ทธ๋ํ๋ผ๊ณ ๋งํ๋ฉฐ, ๋ฐฉํฅ์ฑ์ด ์๋ค๋ฉด ์ผ๋ฐ์ ์ผ๋ก๋ "ํธ๋ฆฌ" ๋ผ๊ณ ํจ.
- ( ๋ฐฉํฅ์ด ์๋ ๋ฌด์ฌ์ดํด ๊ทธ๋ํ๋ฅผ DAG(directed acycclic graph) ๋ผ๊ณ ๋ถ๋ฆ )
(12) ๊ทธ๋ํ์ ํธ๋ฆฌ์ ์ฐจ์ด

- ๋ฐฉํฅ์ฑ์ด ์๋ ๋ฌด์ฌ์ดํด ๊ทธ๋ํ๋ ํธ๋ฆฌ๊ฐ ๋๊ณ , ๊ทธ๋ํ๋ ํธ๋ฆฌ๋ฅผ ํฌ๊ดํ๊ณ ์์.
โ 2. ์ถ์ ์๋ฃํ
(1) ๊ทธ๋ํ - ์ถ์ ์๋ฃํ
![]() |
![]() |
- ์ถ์์๋ฃํ์ "๊ฐ์ฒด์ ์ ์" ์ "์ฐ์ฐ" ์ผ๋ก ๊ตฌ์ฑ์ด ๋จ.
โ 3. ๊ทธ๋ํ ํํ๋ฒ
- ๊ทธ๋ํ๊ฐ ์ปดํจํฐ์์ ํํํ ๋ ๊ฐ์ฅ ๋ํ์ ์ด๊ณ ์ผ๋ฐ์ ์ธ ๋ฐฉ์์ ์ธ์ ํ๋ ฌ, ์ธ์ ๋ฆฌ์คํธ ๋ ๊ฐ์ง ๋ฐฉ์์.
(1) ๊ทธ๋ํ ํํ - ์ธ์ ํ๋ ฌ

- ์ ์ vi, vj ์ ํ๋ ฌ๊ฐ์ด 1์ด๋ฉด true ๊ฐ์ ์ด ์กด์ฌํ๋ค๋ ์๋ฏธ์ด๊ณ , 0 ์ด๋ฉด false ๋ก ๊ฐ์ ์ด ์กด์ฌํ์ง ์์์ ํํํ๋ค.
- ์ฆ, 1, 0 ์ ๊ฐ์ ์ ์กด์ฌ ์ ๋ฌด๋ง์ ๋ํ๋ด๋ ๊ฐ์ผ๋ก ์ฐ์.
[ ๊ฐ์ค์น ๊ทธ๋ํ ํํ ]
![]() |
![]() |
- ๊ฐ์ค์น ๊ฐ w ๋ฅผ ํ๋ ฌ์ ์์๋ก์จ ๋ฃ๊ฒ ๋๋ฉฐ, ๊ฐ์ ์ ์ ๋ฌด + ๊ฐ์ค์น ๊ฐ์ ํํ
(2) ๊ทธ๋ํ ํํ - ์ธ์ ํ๋ ฌ (๋ฌด๋ฐฉํฅ ๊ทธ๋ํ ํํ)

- ๋ฌด๋ฐฉํฅ ๊ทธ๋ํ๋ ์์ ์์๋ก ๋ณด๋ฉด, 1์์ 4๋ก ๊ฐ๋ ๋ฐฉํฅ๋ ์๋ ๋ฐ๋ฉด 4์์ 1๋ก ๊ฐ๋ ๋ฐฉํฅ๋ ๊ฐ๋ฅํ๊ธฐ ๋๋ฌธ์ ์ธ์ ํ๋ ฌ ํํ์ด ๋ ๊ฐ์ฉ ์กด์ฌ ํ ์ ์์.
- ์ฆ, ์์ ๊ฐ์ด ์ธ์ ํ๋ ฌ์ด ๋์นญ์ด ๋ ์๊ฐ ์์.

- ์์ ๊ฐ์ด ๋ ๋ค๋ฅธ ๋ฌด๋ฐฉํฅ ์ธ์ ํ๋ ฌ ์์๋ฅผ ๋ด๋, ๋์ผํ๊ฒ ๋์นญ์ด ๋๋ ๊ตฌ์กฐ๊ฐ ๋ ์ ์์.
(3) ๊ทธ๋ํ ํํ - ์ธ์ ๋ฆฌ์คํธ




'๐๋ฐฉ์กํต์ ๋ํ๊ต > ๐ข์๋ฃ๊ตฌ์กฐ' ์นดํ ๊ณ ๋ฆฌ์ ๋ค๋ฅธ ๊ธ
| [์๋ฃ๊ตฌ์กฐ] 13๊ฐ - ๋ฉํฐ์จ์ด ํ์ ํธ๋ฆฌ(2) (0) | 2025.12.05 |
|---|---|
| [์๋ฃ๊ตฌ์กฐ] 12๊ฐ - ๋ฉํฐ์จ์ด ํ์ ํธ๋ฆฌ(1) (0) | 2025.11.22 |
| [์๋ฃ๊ตฌ์กฐ] 11๊ฐ - BST, Splay, AVL, BB (0) | 2025.11.20 |
| [์๋ฃ๊ตฌ์กฐ] 9๊ฐ - ํ (0) | 2025.11.13 |
| [์๋ฃ๊ตฌ์กฐ] 8๊ฐ - ์ค๋ ๋ํธ๋ฆฌ (0) | 2025.10.23 |





